
有朋友想看中世纪的兔子的更新统计。
今天来安排一下。

中世纪的兔子目前是起点五级作者。
前段时间他的小说《我在永夜打造庇护所》改编的短剧爆火,导致这本书进入起点畅销榜前列。
我们之前也分析过这本小说,从整体架构上和塔防游戏很像。
属于是塔防游戏的小说化。
中世纪的兔子应该也是写文的老手了。
他目前在起点主页的第一本书是下面这本全球废土。
这本书的简介还特意标明了是老作者新马甲。


不过这本书20万字就太监掉了。
他的老马甲是啥我没找到,有知道的可以说一下。
中世纪的兔子在起点开过11本书。
目前起点主页还有8本。
这11本里面,一共扑街了5本,有6本获得精品及以上成绩。
看作品整体风格和切书的速度,感觉是从飞卢来的可能性比较大。
基本上成绩不好的都切了,非常熟练。
目前主页上还有两本太监书,不知道为啥不隐藏掉。
兔子的创作风格和状态,其实和很多老作者类似。
整体上偏向脑洞向的,也没有自己很明显的风格,读者忠诚度较差。
属于中层偏上的作者吧。
不过现在在更新的这本庇护所已经起来了,不知道能不能稳住,然后搞个十二天王当当。
中世纪的兔子的作品如下:


成绩相对来说不是很稳定。
后期也有写了几万字就太监的作品。
兔子能写下去的,一般都是精品成绩以上的了。
这是老作者的常态了,毕竟还要赚钱养家嘛。
11本小说中,6本精品以上,5本扑街。
6本精品里面,一共有3本万订,这个成绩算是非常不错的了。
从2021年开始进入起点,到现在写了一千万字,算是比较多的了。
中世纪的兔子的更新连续性:

因为早期有几本书已经隐藏了。
所以早期的更新看起来断更比较多。
不过从后期来看,实际上兔子的更新还是很可以的,断更的时间非常短。
并且他已经写了11本书了,中间断的大概率是写完了休整的时间。

最近这本的更新还是非常可以的。
上架前日更四千,新书榜先拉满。
然后上架后放出存稿,之后是保持日更一万的速度。
到了后期,速度不太稳定,但是也保持在五千往上。
中世纪的兔子的年更字数:

虽然写作年份比较短。
但是可以看到兔子还是非常勤奋的。
写作速度也是越来越快,去年和前年都写了两百八十万字。
这个速度可以说是非常快了,几乎就是日更一万左右了。
中世纪的兔子平均日更:

可以看到,速度是越来越快了。
日常的速度在六七千左右。
早期可能写得少一点,身为老作者,不知道早期有没有在其他平台双开。
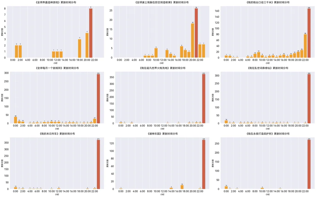
中世纪的兔子更新时间:

就冲着这个更新时间,怎么着也得是个自律派了。
更新时间控制得非常好。
不过一般来说,保持在晚上十二点更新的,都是早期有拖延症的作者。
后来虽然控制住了,但是习惯也已经养成了。

果然,从这个局部更新来看,早期确实是相对混乱一点。
但是吧,这个混乱程度在一众作者里面,也是非常有秩序的了。
早期两本的理想更新时间是晚上九点。
到了后期,基本上就控制在晚上十一点更新了。
最后将中世纪的兔子放到统计过的作者里面。
来起点仅仅五年,就写了一千万字,非常勤奋。
平均下来每年能写两百万左右。
更新也比较多,平均下来每天能有七八千字。
更新时间这边也没得说,早期虽然稍稍混乱,但是对比其他作者算是非常自律的了。
后期直接完全控制住了,和之前的自律派作者差不多。
所以最终评一个自律派。
以下是统计过的部分作者:
4.【正常人】神机&耳根&烟雨江南&真人&三痴&牧狐&白特慢&六六&无罪&醉虎&蜜汁姬&佛前献花&豆子&魔性沧月&姬叉&熊狼狗&卷土&最白的乌鸦
5.【养生派】土豆&忘语&猫腻&高楼大厦&说梦者&空调&肘子&情何以甚&齐佩甲&三行&陈野亮
9.【更多作者】70位多作家统计合集
大家还有啥想看的作者,欢迎告诉我。
好了,这里是云云,祝你幸福。

我们下次再见吧,拜拜。
往期推荐:
3、首订仅八百!四年靠两本书获得白金!《谁让他修仙的!》作者最白的乌鸦的更新统计
封面图片:起点书籍封面
数据来源:起点、起点图

点击下方 关注我
